Spezialisierung

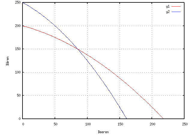
Sammler sammelt Beeren (rot) y1
Jäger jagt Bären (blau) y2
x: Beeren
y: Bären
y1 = a1*x2 + b1*x + c1
a1 = -0.0025
b1 = -0.375
c1 = 200
y2 = a2*x2 + b2*x + c2
a2 = -0.005
b2 = -0.75
c2 = 250
Positive Nullstellen
r1 = 217.62 (217 Beeren)
r2 = 160.85 (160 Beeren)
Jäger und Sammler separat

Wenn es nur um die Anzahl geht, dann ist y + x zu maximieren.
y + x -> max!
Sammler
xn1 = 125 Beeren
ym1 = 114.06 (114 Bären)
Jäger
xn2 = 25 Beeren
ym2 = 228.12 (228 Bären)
% x: Beeren
% y: Bären
x1=linspace(0,300,200);
x2=linspace(0,300,200);
r=.25;
a1=-0.01*r
b1=-1.5*r
c1 = 200
r=.5;
a2=-0.01*r
b2=-1.5*r
c2 = 250
y1= a1*x1.^2 + b1*x1 + c1;
y2= a2*x2.^2 + b2*x2 + c2;
s1 = x1 + y1;
s2 = x2 + y2;
hold off
plot(x,s1);
hold on
plot(x,s2,'b');
ylabel('Summe')
xlabel('Beeren')
axis([0 250 0 260])
grid on
legend('y1+x1','y2+x2')
xn1=-(b1+1)/(2*a1)
xn2=-(b2+1)/(2*a2)
ym1= a1*xn1.^2 + b1*xn1 + c1
ym2= a2*xn2.^2 + b2*xn2 + c2
% y: Bären
x1=linspace(0,300,200);
x2=linspace(0,300,200);
r=.25;
a1=-0.01*r
b1=-1.5*r
c1 = 200
r=.5;
a2=-0.01*r
b2=-1.5*r
c2 = 250
y1= a1*x1.^2 + b1*x1 + c1;
y2= a2*x2.^2 + b2*x2 + c2;
s1 = x1 + y1;
s2 = x2 + y2;
hold off
plot(x,s1);
hold on
plot(x,s2,'b');
ylabel('Summe')
xlabel('Beeren')
axis([0 250 0 260])
grid on
legend('y1+x1','y2+x2')
xn1=-(b1+1)/(2*a1)
xn2=-(b2+1)/(2*a2)
ym1= a1*xn1.^2 + b1*xn1 + c1
ym2= a2*xn2.^2 + b2*xn2 + c2
Jäger und Sammler ins Summe
Eine Beere hat den gleichen Wert, wie ein Bär. Das ist so gegeben. Nicht nachdenken... man könnte ja nach Marktwert optimieren, aber nein...
Wenn es also wieder nur um die Anzahl geht, dann ist y1 + x1 + y2 + x2 zu maximieren.
w = y1 + x1 + y2 + x2 -> max!
mit
y1= a1*x1.^2 + b1*x1 + c1;
y2= a2*x2.^2 + b2*x2 + c2;
folgt
w = a1*x1.^2 + b1*x1 + c1 + x1 + a2*x2.^2 + b2*x2 + c2 + x2
etwas anders geordnet
w = a1*x1.^2 + a2*x2.^2 + (1+b1)*x1 + (1+b2)*x2 + c1+ c2
erste partielle Ableitung
ableiten nach x1
w1'(x1,x2) = 2*a1*x1 + b1 + 1
ableiten nach x2
w2'(x1,x2) = 2*a2*x2 + b2 + 1
zweite Ableitung
ableiten nach x1
(w1')1' = w11(x1,x2) = 2*a1
ableiten nach x2
(w2')2' = w22(x1,x2) = 2*a2
ableiten nach x1 und x2
(w1')2' = w12 = 0;
Bedingung:
Es liegt ein relativer Extremwert vor, wenn:
w11 * w22 - w12 > 0
4 * a1 * a2 > 0 -> passt
Nulstellen der ersten Ableitung:
w1' = 0 -> x1 = 125 Beeren, die der Sammler sammeln sollte...
w2' = 0 -> x2 = 25 Beeren, die der Jäger sammeln sollte...
ym1= a1*xm1.^2 + b1*xm1 + c1 = 114.06 (114 Bären, die der Sammler jagen sollte...)
ym2= a2*xm2.^2 + b2*xm2 + c2 = 228.12 (228 Bären, die der Jäger jagen sollte...)
...um den maximalen Ertrag zu erzielen. Die Größte Ausbeute aus Mensch und Umwelt. ;)

Die Numerische Lösung (grobe Näherung zur Kontrolle)
[x1,x2]=find(max(max(A))==A)
Maximum bei ca. 492 (Bären + Beeren)
Sammler
xm1 = 125.42 (125 Beeren)
ym1= a1*xm1.^2 + b1*xm1 + c1 = 113.64 (113 Bären)
Jäger
xm2 = 24.749 (24 Beeren)
ym2= a2*xm2.^2 + b2*xm2 + c2 = 228.3 (228 Bären)
xm1+xm2 = 150 Beeren
ym1+ym2 = 342 Bären
Siehe auch